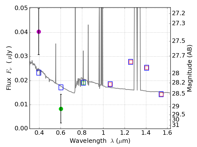
RXS0603+42-N IR detection object #8396

Color images and BPZ results
Catalog: 8396.cat
Black segments are analyzed here.   Roll mouse over color images to view segments.
Best viewed in a wide browser window (1200 pixels or more).   Download SED & P(z) plots to view larger versions.
In P(z) plots: Yellow lines mark the cluster redshift z = 0.228,  

Object #8396   x,y = (3568, 726)   RA, Dec = (06:03:08.376, 42:14:01.32) = (90.78490, 42.23370)   BPZ = 0.982 [0.466--2.625]   type = 11.00 (SB11_A_0_l)   stellarity = 0.42   chisq2 = 5.09   ODDS = 0.11   z_cluster = 0.228