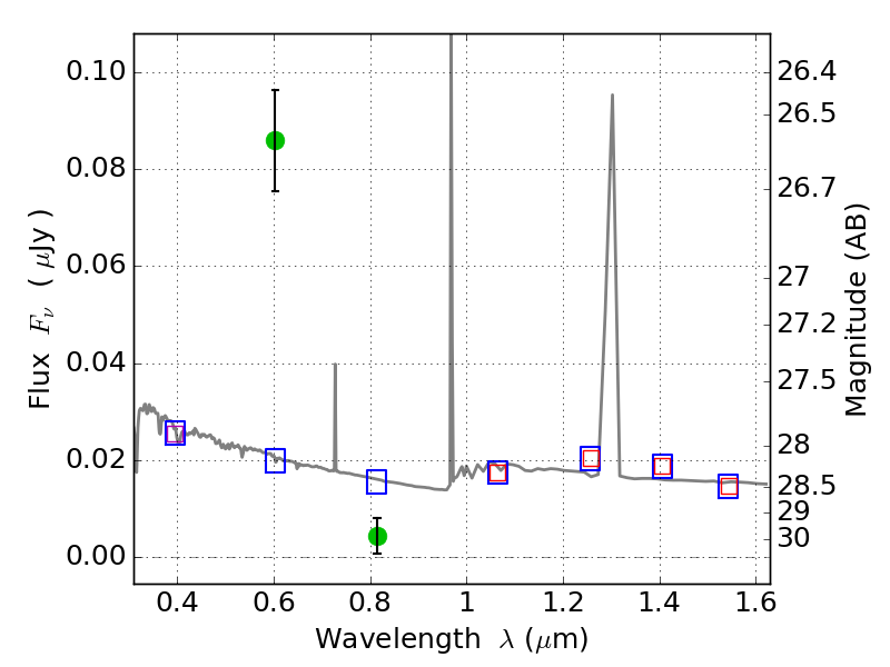
RXS0603+42-N IR detection object #8359

Color images and BPZ results
Catalog: 8359.cat
Black segments are analyzed here.   Roll mouse over color images to view segments.
Best viewed in a wide browser window (1200 pixels or more).   Download SED & P(z) plots to view larger versions.
In P(z) plots: Yellow lines mark the cluster redshift z = 0.228,  

Object #8359   x,y = (2436, 742)   RA, Dec = (06:03:14.496, 42:14:02.04) = (90.81040, 42.23390)   BPZ = 1.597 [0.086--3.388]   type = 11.00 (SB11_A_0_l)   stellarity = 0.74   chisq2 = 46.78   ODDS = 0.13   z_cluster = 0.228