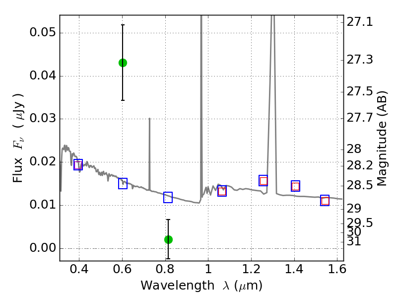
RXS0603+42-N IR detection object #8331

Color images and BPZ results
Catalog: 8331.cat
Black segments are analyzed here.   Roll mouse over color images to view segments.
Best viewed in a wide browser window (1200 pixels or more).   Download SED & P(z) plots to view larger versions.
In P(z) plots: Yellow lines mark the cluster redshift z = 0.228,  

Object #8331   x,y = (2505, 753)   RA, Dec = (06:03:14.112, 42:14:02.76) = (90.80880, 42.23410)   BPZ = 1.598 [0.337--4.045]   type = 11.00 (SB11_A_0_l)   stellarity = 0.70   chisq2 = 14.31   ODDS = 0.09   z_cluster = 0.228