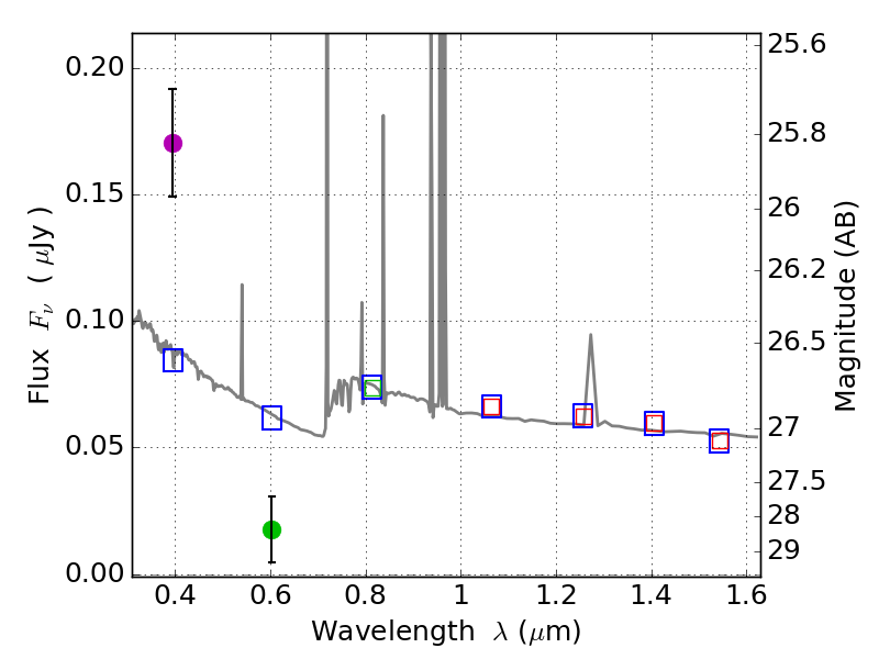
RXS0603+42-N IR detection object #8325

Color images and BPZ results
Catalog: 8325.cat
Black segments are analyzed here.   Roll mouse over color images to view segments.
Best viewed in a wide browser window (1200 pixels or more).   Download SED & P(z) plots to view larger versions.
In P(z) plots: Yellow lines mark the cluster redshift z = 0.228,  

Object #8325   x,y = (3022, 731)   RA, Dec = (06:03:11.328, 42:14:01.68) = (90.79720, 42.23380)   BPZ = 0.931 [0.752--2.132]   type = 11.00 (SB11_A_0_l)   stellarity = 0.07   chisq2 = 25.24   ODDS = 0.18   z_cluster = 0.228