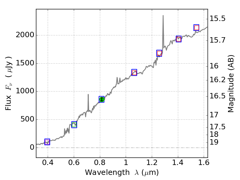
RXS0603+42-N IR detection object #827

Color images and BPZ results
Catalog: 827.cat
Black segments are analyzed here.   Roll mouse over color images to view segments.
Best viewed in a wide browser window (1200 pixels or more).   Download SED & P(z) plots to view larger versions.
In P(z) plots: Yellow lines mark the cluster redshift z = 0.228,  

Object #827   x,y = (3491, 3401)   RA, Dec = (06:03:08.784, 42:16:41.88) = (90.78660, 42.27830)   BPZ = 0.421 [0.051--0.865]   type = 6.20 (Sbc_B10 - Scd_B10)   stellarity = 0.03   chisq2 = 990.00   ODDS = 0.21   z_cluster = 0.228