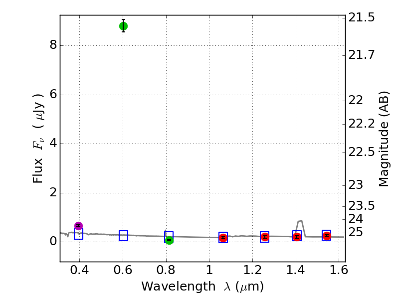
RXS0603+42-N IR detection object #815

Color images and BPZ results
Catalog: 815.cat
Black segments are analyzed here.   Roll mouse over color images to view segments.
Best viewed in a wide browser window (1200 pixels or more).   Download SED & P(z) plots to view larger versions.
In P(z) plots: Yellow lines mark the cluster redshift z = 0.228,  

Object #815   x,y = (3464, 3279)   RA, Dec = (06:03:08.928, 42:16:34.32) = (90.78720, 42.27620)   BPZ = 1.852 [1.472--1.993]   type = 11.00 (SB11_A_0_l)   stellarity = 0.98   chisq2 = 286.60   ODDS = 0.46   z_cluster = 0.228