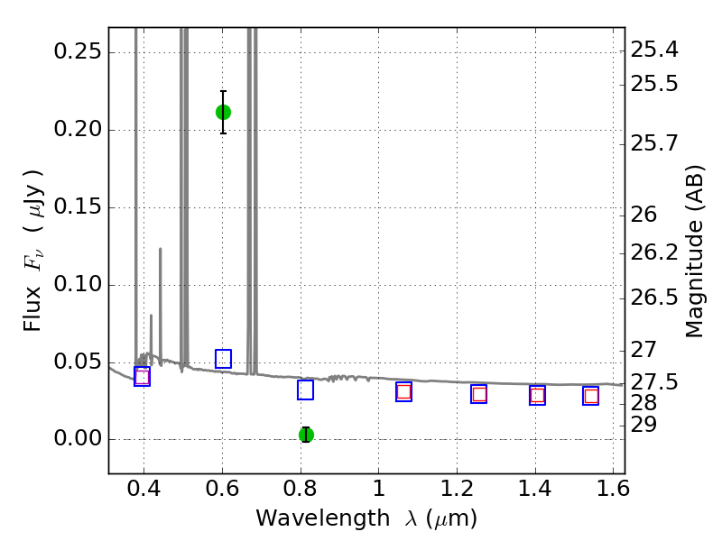
RXS0603+42-N IR detection object #8130

Color images and BPZ results
Catalog: 8130.cat
Black segments are analyzed here.   Roll mouse over color images to view segments.
Best viewed in a wide browser window (1200 pixels or more).   Download SED & P(z) plots to view larger versions.
In P(z) plots: Yellow lines mark the cluster redshift z = 0.228,  

Object #8130   x,y = (2125, 827)   RA, Dec = (06:03:16.176, 42:14:07.44) = (90.81740, 42.23540)   BPZ = 0.021 [0.010--2.113]   type = 11.00 (SB11_A_0_l)   stellarity = 0.99   chisq2 = 152.60   ODDS = 0.92   z_cluster = 0.228