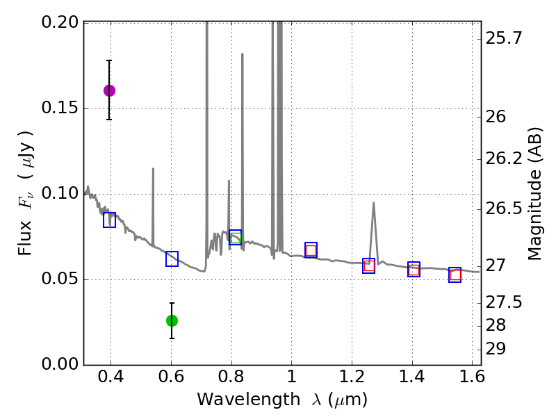
RXS0603+42-N IR detection object #8051

Color images and BPZ results
Catalog: 8051.cat
Black segments are analyzed here.   Roll mouse over color images to view segments.
Best viewed in a wide browser window (1200 pixels or more).   Download SED & P(z) plots to view larger versions.
In P(z) plots: Yellow lines mark the cluster redshift z = 0.228,  

Object #8051   x,y = (2975, 855)   RA, Dec = (06:03:11.592, 42:14:08.88) = (90.79830, 42.23580)   BPZ = 0.930 [0.794--2.034]   type = 11.00 (SB11_A_0_l)   stellarity = 0.25   chisq2 = 26.70   ODDS = 0.22   z_cluster = 0.228