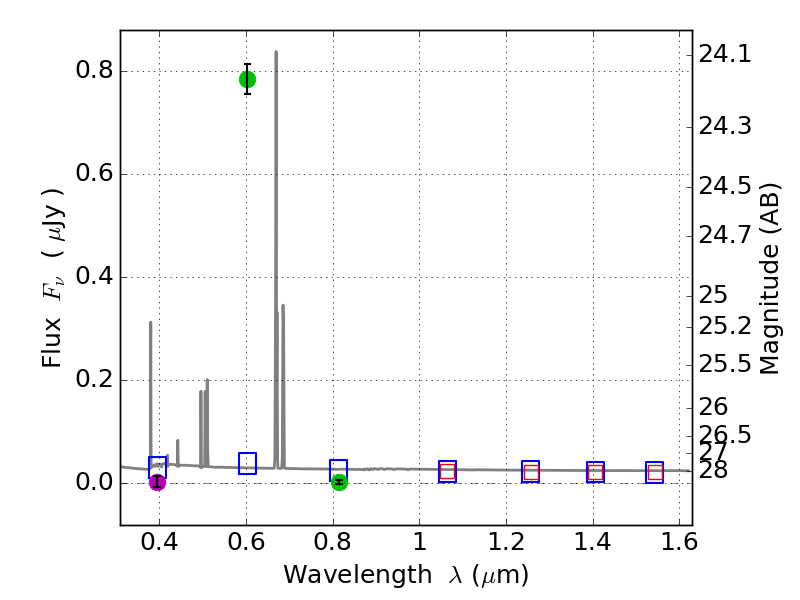
RXS0603+42-N IR detection object #804

Color images and BPZ results
Catalog: 804.cat
Black segments are analyzed here.   Roll mouse over color images to view segments.
Best viewed in a wide browser window (1200 pixels or more).   Download SED & P(z) plots to view larger versions.
In P(z) plots: Yellow lines mark the cluster redshift z = 0.228,  

Object #804   x,y = (3192, 3420)   RA, Dec = (06:03:10.416, 42:16:42.96) = (90.79340, 42.27860)   BPZ = 0.024 [0.013--3.322]   type = 11.00 (SB11_A_0_l)   stellarity = 0.69   chisq2 = 681.90   ODDS = 0.33   z_cluster = 0.228