RXS0603+42-N IR detection object #7968

Color images and BPZ results
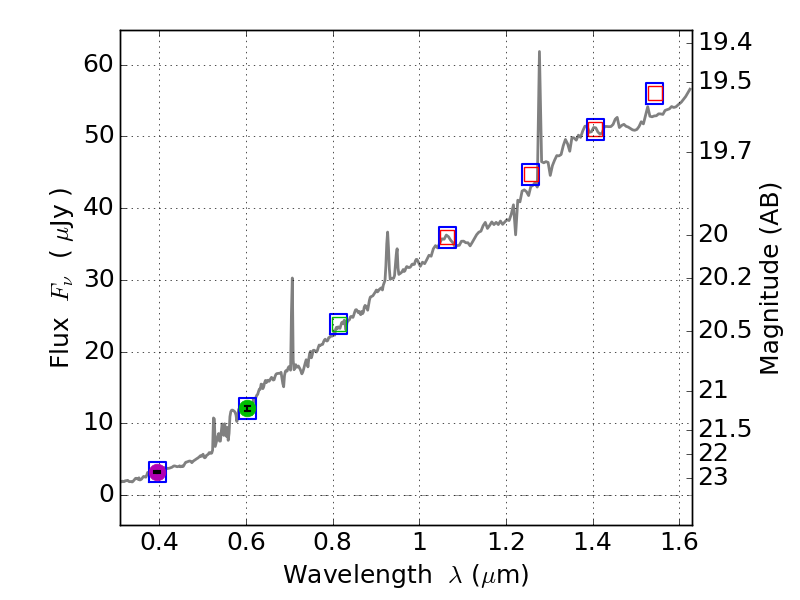
Catalog: 7968.cat
Black segments are analyzed here.   Roll mouse over color images to view segments.
Best viewed in a wide browser window (1200 pixels or more).   Download SED & P(z) plots to view larger versions.
In P(z) plots: Yellow lines mark the cluster redshift z = 0.228,  

Object #7968   x,y = (3280, 765)   RA, Dec = (06:03:09.936, 42:14:03.48) = (90.79140, 42.23430)   BPZ = 0.406 [0.129--0.898]   type = 6.40 (Sbc_B10 - Scd_B10)   stellarity = 0.00   chisq2 = 0.00   ODDS = 0.21   z_cluster = 0.228