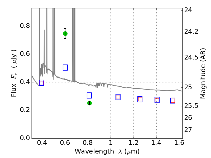
RXS0603+42-N IR detection object #7890

Color images and BPZ results
Catalog: 7890.cat
Black segments are analyzed here.   Roll mouse over color images to view segments.
Best viewed in a wide browser window (1200 pixels or more).   Download SED & P(z) plots to view larger versions.
In P(z) plots: Yellow lines mark the cluster redshift z = 0.228,  

Object #7890   x,y = (2126, 862)   RA, Dec = (06:03:16.176, 42:14:09.60) = (90.81740, 42.23600)   BPZ = 0.018 [0.010--0.037]   type = 11.00 (SB11_A_0_l)   stellarity = 0.90   chisq2 = 27.19   ODDS = 1.00   z_cluster = 0.228