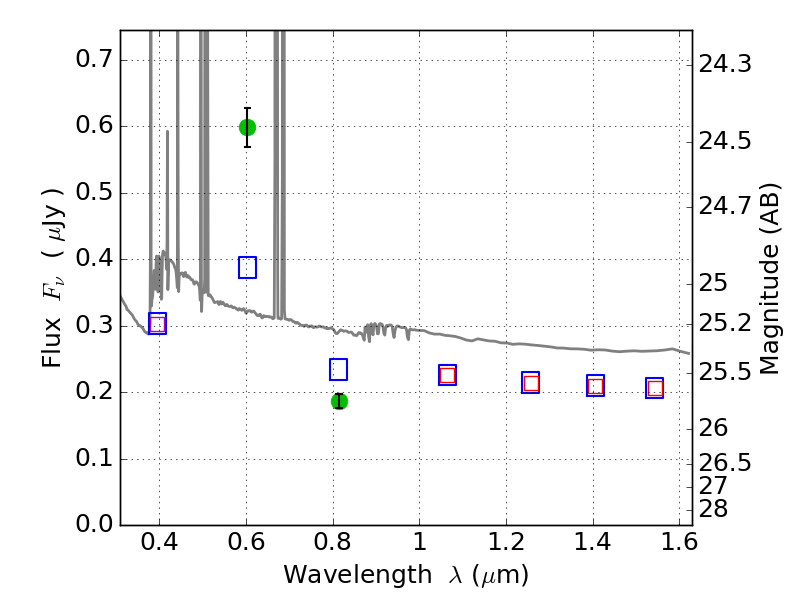
RXS0603+42-N IR detection object #7889

Color images and BPZ results
Catalog: 7889.cat
Black segments are analyzed here.   Roll mouse over color images to view segments.
Best viewed in a wide browser window (1200 pixels or more).   Download SED & P(z) plots to view larger versions.
In P(z) plots: Yellow lines mark the cluster redshift z = 0.228,  

Object #7889   x,y = (2196, 819)   RA, Dec = (06:03:15.792, 42:14:06.72) = (90.81580, 42.23520)   BPZ = 0.018 [0.010--0.038]   type = 11.00 (SB11_A_0_l)   stellarity = 0.70   chisq2 = 31.81   ODDS = 1.00   z_cluster = 0.228