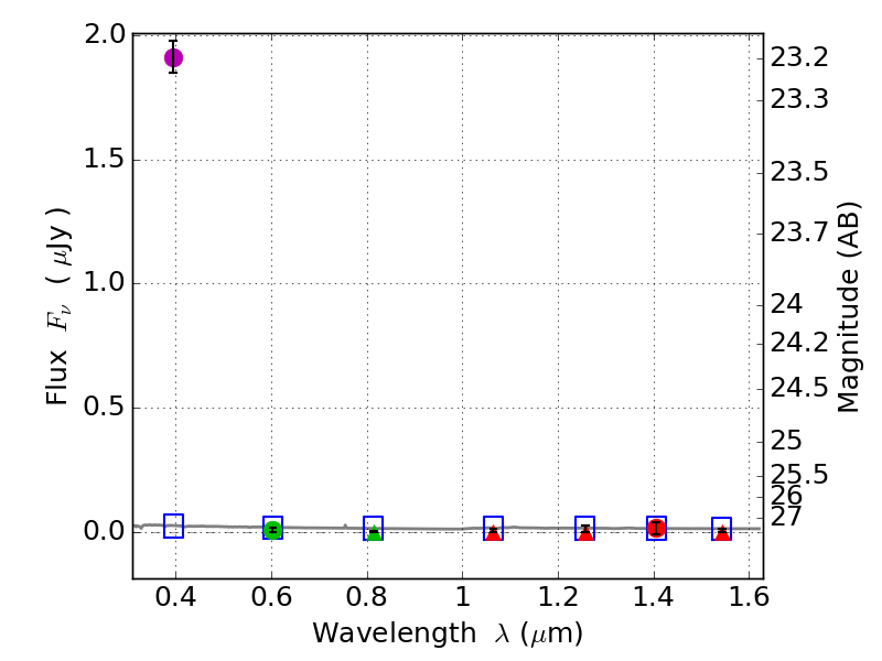
RXS0603+42-N IR detection object #7808

Color images and BPZ results
Catalog: 7808.cat
Black segments are analyzed here.   Roll mouse over color images to view segments.
Best viewed in a wide browser window (1200 pixels or more).   Download SED & P(z) plots to view larger versions.
In P(z) plots: Yellow lines mark the cluster redshift z = 0.228,  

Object #7808   x,y = (2161, 954)   RA, Dec = (06:03:15.984, 42:14:15.00) = (90.81660, 42.23750)   BPZ = 1.697 [0.666--2.669]   type = 11.00 (SB11_A_0_l)   stellarity = 0.97   chisq2 = 222.30   ODDS = 0.28   z_cluster = 0.228