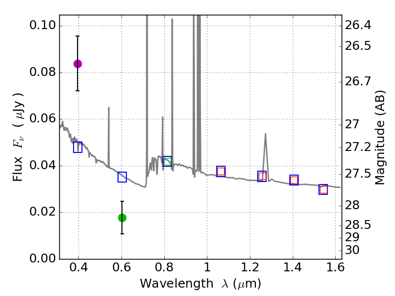
RXS0603+42-N IR detection object #7797

Color images and BPZ results
Catalog: 7797.cat
Black segments are analyzed here.   Roll mouse over color images to view segments.
Best viewed in a wide browser window (1200 pixels or more).   Download SED & P(z) plots to view larger versions.
In P(z) plots: Yellow lines mark the cluster redshift z = 0.228,  

Object #7797   x,y = (3282, 960)   RA, Dec = (06:03:09.936, 42:14:15.36) = (90.79140, 42.23760)   BPZ = 0.931 [0.712--2.193]   type = 11.00 (SB11_A_0_l)   stellarity = 0.46   chisq2 = 13.85   ODDS = 0.16   z_cluster = 0.228