RXS0603+42-N IR detection object #7717

Color images and BPZ results
Catalog: 7717.cat
Black segments are analyzed here.   Roll mouse over color images to view segments.
Best viewed in a wide browser window (1200 pixels or more).   Download SED & P(z) plots to view larger versions.
In P(z) plots: Yellow lines mark the cluster redshift z = 0.228,  

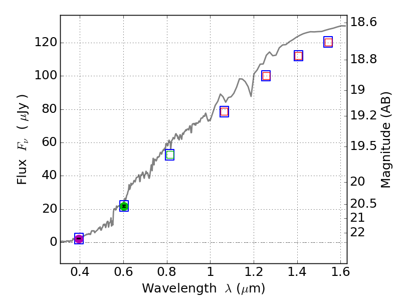
Object #7717   x,y = (3386, 986)   RA, Dec = (06:03:09.360, 42:14:16.80) = (90.78900, 42.23800)   BPZ = 0.395 [0.301--0.778]   type = 3.40 (Ell5_A_0 - Ell4_A_0)   stellarity = 0.92   chisq2 = 0.00   ODDS = 0.64   z_cluster = 0.228