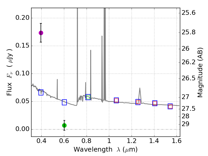
RXS0603+42-N IR detection object #7694

Color images and BPZ results
Catalog: 7694.cat
Black segments are analyzed here.   Roll mouse over color images to view segments.
Best viewed in a wide browser window (1200 pixels or more).   Download SED & P(z) plots to view larger versions.
In P(z) plots: Yellow lines mark the cluster redshift z = 0.228,  

Object #7694   x,y = (3444, 1005)   RA, Dec = (06:03:09.048, 42:14:17.88) = (90.78770, 42.23830)   BPZ = 0.931 [0.815--2.012]   type = 11.00 (SB11_A_0_l)   stellarity = 0.72   chisq2 = 55.56   ODDS = 0.24   z_cluster = 0.228