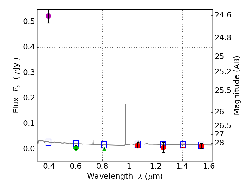
RXS0603+42-N IR detection object #7685

Color images and BPZ results
Catalog: 7685.cat
Black segments are analyzed here.   Roll mouse over color images to view segments.
Best viewed in a wide browser window (1200 pixels or more).   Download SED & P(z) plots to view larger versions.
In P(z) plots: Yellow lines mark the cluster redshift z = 0.228,  

Object #7685   x,y = (2051, 1010)   RA, Dec = (06:03:16.584, 42:14:18.24) = (90.81910, 42.23840)   BPZ = 1.609 [1.070--2.271]   type = 11.00 (SB11_A_0_l)   stellarity = 0.80   chisq2 = 108.00   ODDS = 0.32   z_cluster = 0.228