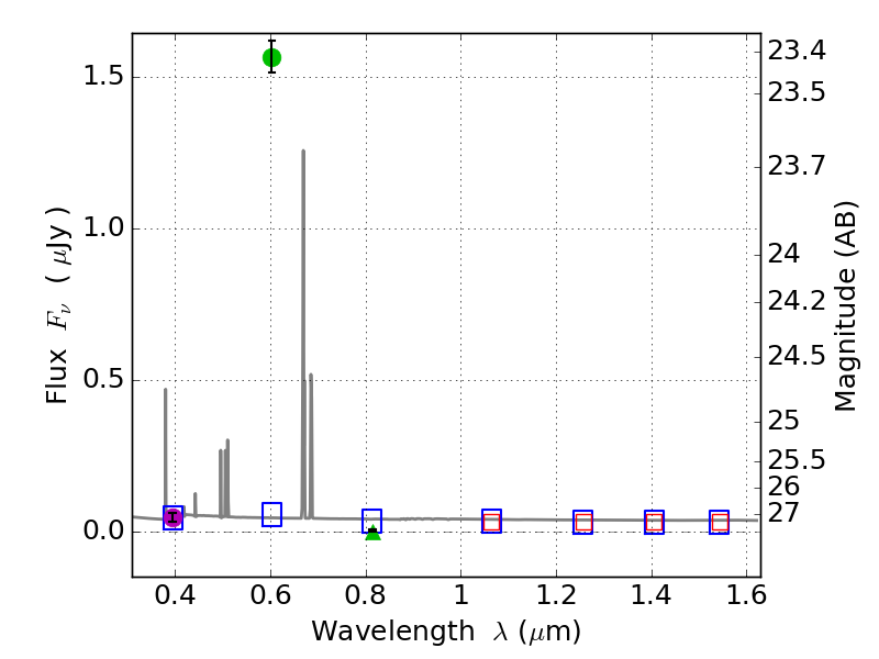
RXS0603+42-N IR detection object #767

Color images and BPZ results
Catalog: 767.cat
Black segments are analyzed here.   Roll mouse over color images to view segments.
Best viewed in a wide browser window (1200 pixels or more).   Download SED & P(z) plots to view larger versions.
In P(z) plots: Yellow lines mark the cluster redshift z = 0.228,  

Object #767   x,y = (3162, 3437)   RA, Dec = (06:03:10.560, 42:16:44.04) = (90.79400, 42.27890)   BPZ = 0.023 [0.010--2.236]   type = 11.00 (SB11_A_0_l)   stellarity = 0.77   chisq2 = 902.70   ODDS = 0.74   z_cluster = 0.228