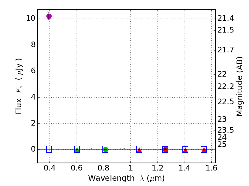
RXS0603+42-N IR detection object #7664

Color images and BPZ results
Catalog: 7664.cat
Black segments are analyzed here.   Roll mouse over color images to view segments.
Best viewed in a wide browser window (1200 pixels or more).   Download SED & P(z) plots to view larger versions.
In P(z) plots: Yellow lines mark the cluster redshift z = 0.228,  

Object #7664   x,y = (2033, 1010)   RA, Dec = (06:03:16.680, 42:14:18.24) = (90.81950, 42.23840)   BPZ = 0.907 [0.228--5.752]   type = 11.00 (SB11_A_0_l)   stellarity = 0.99   chisq2 = 286.70   ODDS = 0.07   z_cluster = 0.228