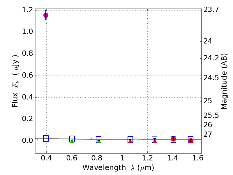
RXS0603+42-N IR detection object #7638

Color images and BPZ results
Catalog: 7638.cat
Black segments are analyzed here.   Roll mouse over color images to view segments.
Best viewed in a wide browser window (1200 pixels or more).   Download SED & P(z) plots to view larger versions.
In P(z) plots: Yellow lines mark the cluster redshift z = 0.228,  

Object #7638   x,y = (1990, 1025)   RA, Dec = (06:03:16.896, 42:14:19.32) = (90.82040, 42.23870)   BPZ = 1.697 [0.599--2.717]   type = 11.00 (SB11_A_0_l)   stellarity = 0.66   chisq2 = 167.00   ODDS = 0.26   z_cluster = 0.228