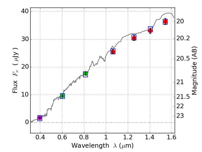
RXS0603+42-N IR detection object #7593

Color images and BPZ results
Catalog: 7593.cat
Black segments are analyzed here.   Roll mouse over color images to view segments.
Best viewed in a wide browser window (1200 pixels or more).   Download SED & P(z) plots to view larger versions.
In P(z) plots: Yellow lines mark the cluster redshift z = 0.228,  

Object #7593   x,y = (2291, 1072)   RA, Dec = (06:03:15.288, 42:14:22.20) = (90.81370, 42.23950)   BPZ = 0.157 [0.088--0.225]   type = 4.40 (Ell4_A_0 - ES0_B10)   stellarity = 0.03   chisq2 = 0.02   ODDS = 0.78   z_cluster = 0.228