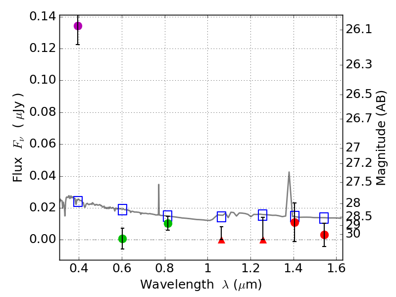
RXS0603+42-N IR detection object #7517

Color images and BPZ results
Catalog: 7517.cat
Black segments are analyzed here.   Roll mouse over color images to view segments.
Best viewed in a wide browser window (1200 pixels or more).   Download SED & P(z) plots to view larger versions.
In P(z) plots: Yellow lines mark the cluster redshift z = 0.228,  

Object #7517   x,y = (2119, 1069)   RA, Dec = (06:03:16.200, 42:14:21.84) = (90.81750, 42.23940)   BPZ = 1.763 [0.897--2.313]   type = 11.00 (SB11_A_0_l)   stellarity = 0.47   chisq2 = 24.29   ODDS = 0.38   z_cluster = 0.228