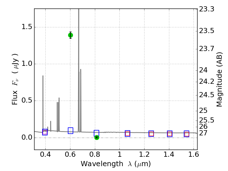
RXS0603+42-N IR detection object #7503

Color images and BPZ results
Catalog: 7503.cat
Black segments are analyzed here.   Roll mouse over color images to view segments.
Best viewed in a wide browser window (1200 pixels or more).   Download SED & P(z) plots to view larger versions.
In P(z) plots: Yellow lines mark the cluster redshift z = 0.228,  

Object #7503   x,y = (1573, 1078)   RA, Dec = (06:03:19.152, 42:14:22.20) = (90.82980, 42.23950)   BPZ = 0.020 [0.010--0.045]   type = 11.00 (SB11_A_0_l)   stellarity = 0.91   chisq2 = 838.10   ODDS = 0.99   z_cluster = 0.228