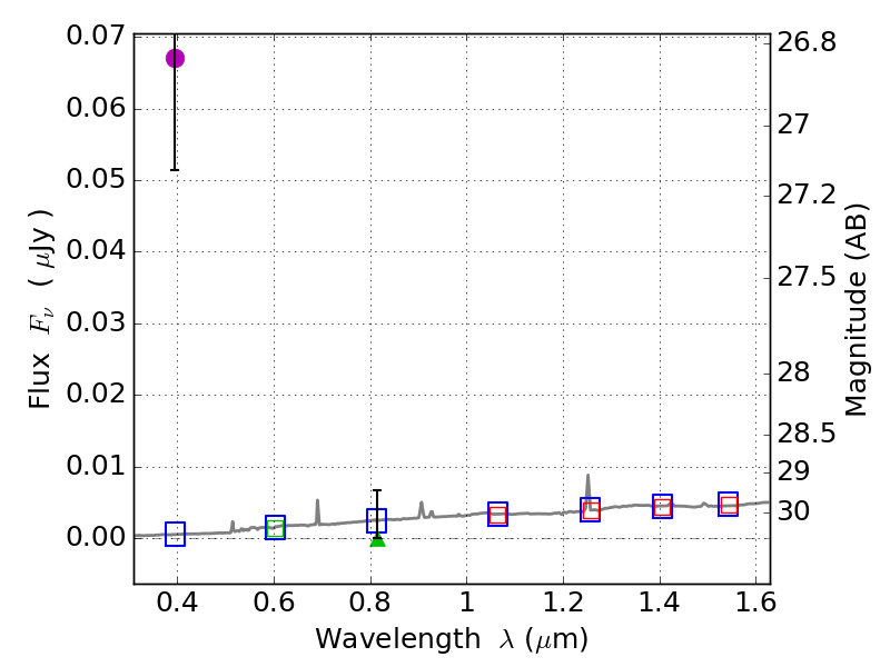
RXS0603+42-N IR detection object #740

Color images and BPZ results
Catalog: 740.cat
Black segments are analyzed here.   Roll mouse over color images to view segments.
Best viewed in a wide browser window (1200 pixels or more).   Download SED & P(z) plots to view larger versions.
In P(z) plots: Yellow lines mark the cluster redshift z = 0.228,  

Object #740   x,y = (3079, 3475)   RA, Dec = (06:03:11.016, 42:16:46.20) = (90.79590, 42.27950)   BPZ = 0.379 [0.032--0.857]   type = 7.00 (Scd_B10)   stellarity = 0.86   chisq2 = 17.91   ODDS = 0.19   z_cluster = 0.228