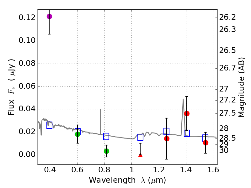
RXS0603+42-N IR detection object #7361

Color images and BPZ results
Catalog: 7361.cat
Black segments are analyzed here.   Roll mouse over color images to view segments.
Best viewed in a wide browser window (1200 pixels or more).   Download SED & P(z) plots to view larger versions.
In P(z) plots: Yellow lines mark the cluster redshift z = 0.228,  

Object #7361   x,y = (2877, 1134)   RA, Dec = (06:03:12.120, 42:14:25.80) = (90.80050, 42.24050)   BPZ = 1.758 [0.978--2.479]   type = 11.00 (SB11_A_0_l)   stellarity = 0.47   chisq2 = 11.24   ODDS = 0.29   z_cluster = 0.228