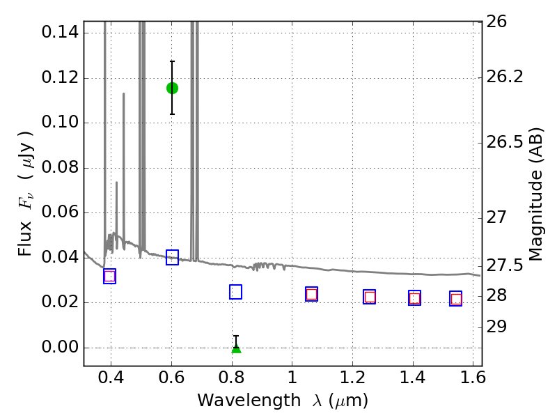
RXS0603+42-N IR detection object #7274

Color images and BPZ results
Catalog: 7274.cat
Black segments are analyzed here.   Roll mouse over color images to view segments.
Best viewed in a wide browser window (1200 pixels or more).   Download SED & P(z) plots to view larger versions.
In P(z) plots: Yellow lines mark the cluster redshift z = 0.228,  

Object #7274   x,y = (1355, 1156)   RA, Dec = (06:03:20.328, 42:14:26.88) = (90.83470, 42.24080)   BPZ = 0.025 [0.015--3.030]   type = 11.00 (SB11_A_0_l)   stellarity = 0.78   chisq2 = 56.46   ODDS = 0.20   z_cluster = 0.228