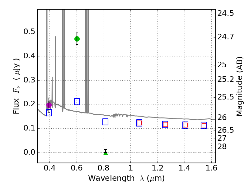
RXS0603+42-N IR detection object #7253

Color images and BPZ results
Catalog: 7253.cat
Black segments are analyzed here.   Roll mouse over color images to view segments.
Best viewed in a wide browser window (1200 pixels or more).   Download SED & P(z) plots to view larger versions.
In P(z) plots: Yellow lines mark the cluster redshift z = 0.228,  

Object #7253   x,y = (3540, 1218)   RA, Dec = (06:03:08.520, 42:14:30.84) = (90.78550, 42.24190)   BPZ = 0.018 [0.010--0.038]   type = 11.00 (SB11_A_0_l)   stellarity = 0.00   chisq2 = 131.40   ODDS = 1.00   z_cluster = 0.228