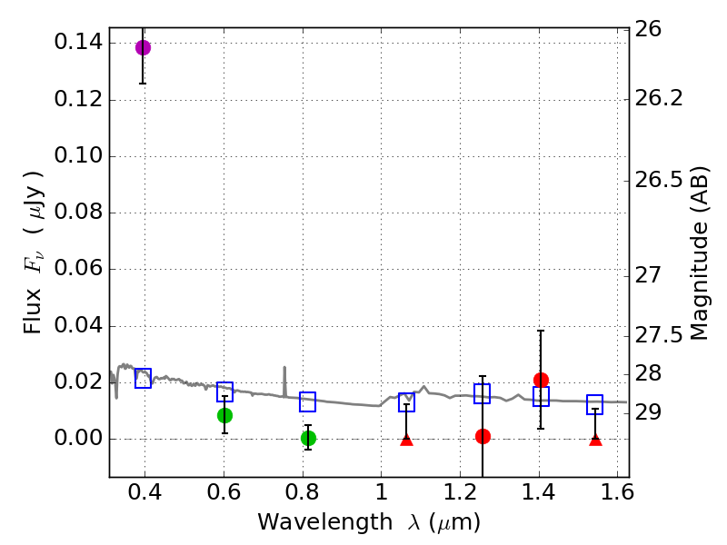
RXS0603+42-N IR detection object #7210

Color images and BPZ results
Catalog: 7210.cat
Black segments are analyzed here.   Roll mouse over color images to view segments.
Best viewed in a wide browser window (1200 pixels or more).   Download SED & P(z) plots to view larger versions.
In P(z) plots: Yellow lines mark the cluster redshift z = 0.228,  

Object #7210   x,y = (2682, 1180)   RA, Dec = (06:03:13.176, 42:14:28.32) = (90.80490, 42.24120)   BPZ = 1.696 [1.038--2.365]   type = 11.00 (SB11_A_0_l)   stellarity = 0.62   chisq2 = 22.84   ODDS = 0.37   z_cluster = 0.228