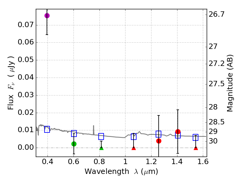
RXS0603+42-N IR detection object #7206

Color images and BPZ results
Catalog: 7206.cat
Black segments are analyzed here.   Roll mouse over color images to view segments.
Best viewed in a wide browser window (1200 pixels or more).   Download SED & P(z) plots to view larger versions.
In P(z) plots: Yellow lines mark the cluster redshift z = 0.228,  

Object #7206   x,y = (2586, 1181)   RA, Dec = (06:03:13.680, 42:14:28.68) = (90.80700, 42.24130)   BPZ = 1.696 [0.385--6.748]   type = 11.00 (SB11_A_0_l)   stellarity = 0.38   chisq2 = 10.18   ODDS = 0.14   z_cluster = 0.228