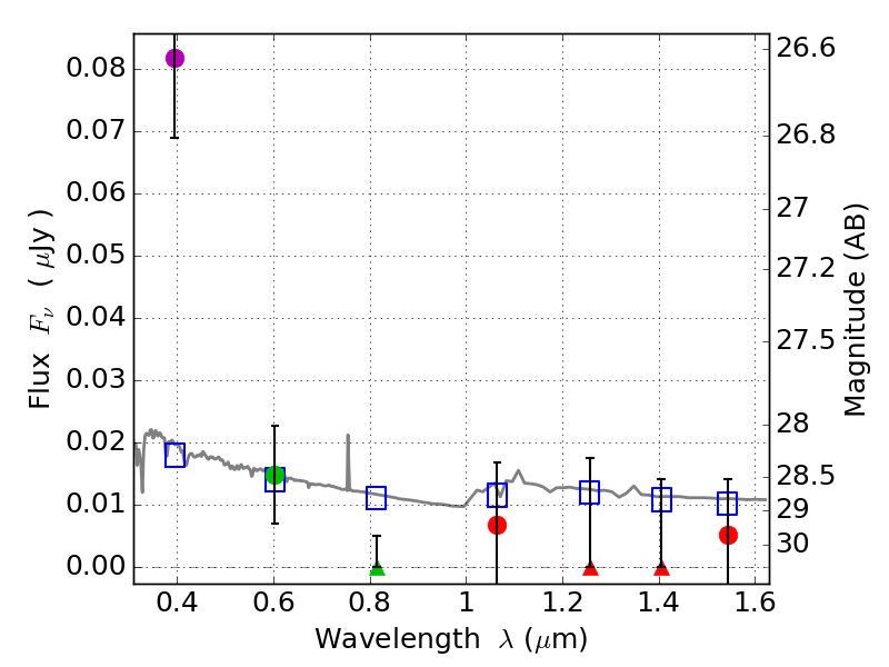
RXS0603+42-N IR detection object #7177

Color images and BPZ results
Catalog: 7177.cat
Black segments are analyzed here.   Roll mouse over color images to view segments.
Best viewed in a wide browser window (1200 pixels or more).   Download SED & P(z) plots to view larger versions.
In P(z) plots: Yellow lines mark the cluster redshift z = 0.228,  

Object #7177   x,y = (2060, 1192)   RA, Dec = (06:03:16.536, 42:14:29.04) = (90.81890, 42.24140)   BPZ = 1.702 [0.458--2.916]   type = 11.00 (SB11_A_0_l)   stellarity = 0.40   chisq2 = 7.65   ODDS = 0.22   z_cluster = 0.228