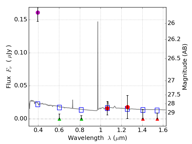
RXS0603+42-N IR detection object #7135

Color images and BPZ results
Catalog: 7135.cat
Black segments are analyzed here.   Roll mouse over color images to view segments.
Best viewed in a wide browser window (1200 pixels or more).   Download SED & P(z) plots to view larger versions.
In P(z) plots: Yellow lines mark the cluster redshift z = 0.228,  

Object #7135   x,y = (2416, 1202)   RA, Dec = (06:03:14.592, 42:14:29.76) = (90.81080, 42.24160)   BPZ = 1.613 [0.917--2.244]   type = 11.00 (SB11_A_0_l)   stellarity = 0.58   chisq2 = 30.10   ODDS = 0.36   z_cluster = 0.228