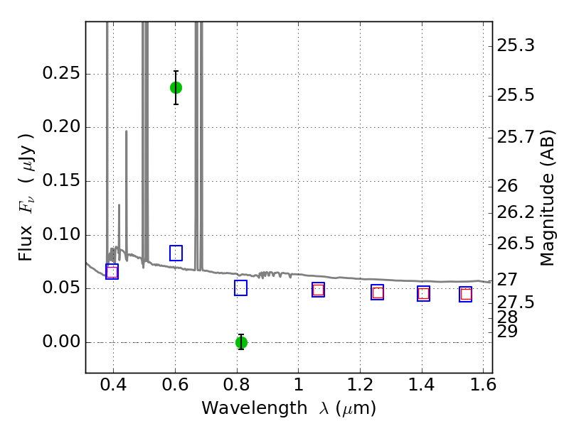
RXS0603+42-N IR detection object #7128

Color images and BPZ results
Catalog: 7128.cat
Black segments are analyzed here.   Roll mouse over color images to view segments.
Best viewed in a wide browser window (1200 pixels or more).   Download SED & P(z) plots to view larger versions.
In P(z) plots: Yellow lines mark the cluster redshift z = 0.228,  

Object #7128   x,y = (1283, 1206)   RA, Dec = (06:03:20.712, 42:14:30.12) = (90.83630, 42.24170)   BPZ = 0.020 [0.010--0.046]   type = 11.00 (SB11_A_0_l)   stellarity = 0.65   chisq2 = 120.60   ODDS = 0.99   z_cluster = 0.228