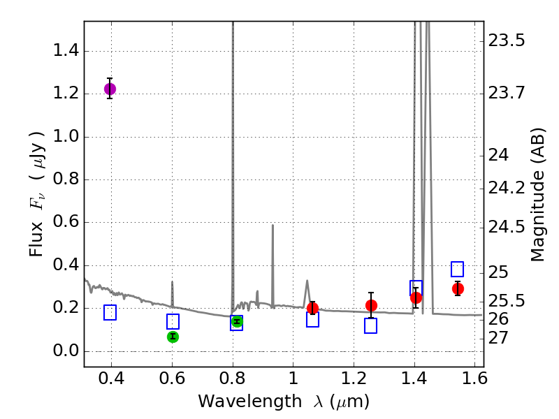
RXS0603+42-N IR detection object #7113

Color images and BPZ results
Catalog: 7113.cat
Black segments are analyzed here.   Roll mouse over color images to view segments.
Best viewed in a wide browser window (1200 pixels or more).   Download SED & P(z) plots to view larger versions.
In P(z) plots: Yellow lines mark the cluster redshift z = 0.228,  

Object #7113   x,y = (1815, 1118)   RA, Dec = (06:03:17.856, 42:14:24.72) = (90.82440, 42.24020)   BPZ = 1.152 [1.120--1.405]   type = 11.00 (SB11_A_0_l)   stellarity = 0.94   chisq2 = 100.90   ODDS = 0.62   z_cluster = 0.228