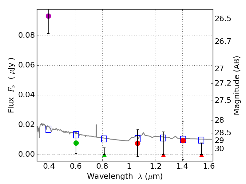
RXS0603+42-N IR detection object #7064

Color images and BPZ results
Catalog: 7064.cat
Black segments are analyzed here.   Roll mouse over color images to view segments.
Best viewed in a wide browser window (1200 pixels or more).   Download SED & P(z) plots to view larger versions.
In P(z) plots: Yellow lines mark the cluster redshift z = 0.228,  

Object #7064   x,y = (2391, 1220)   RA, Dec = (06:03:14.736, 42:14:30.84) = (90.81140, 42.24190)   BPZ = 1.701 [0.569--2.703]   type = 11.00 (SB11_A_0_l)   stellarity = 0.38   chisq2 = 12.34   ODDS = 0.28   z_cluster = 0.228