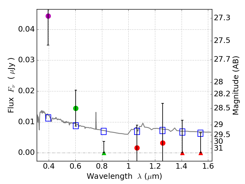
RXS0603+42-N IR detection object #7057

Color images and BPZ results
Catalog: 7057.cat
Black segments are analyzed here.   Roll mouse over color images to view segments.
Best viewed in a wide browser window (1200 pixels or more).   Download SED & P(z) plots to view larger versions.
In P(z) plots: Yellow lines mark the cluster redshift z = 0.228,  

Object #7057   x,y = (2095, 1222)   RA, Dec = (06:03:16.344, 42:14:31.20) = (90.81810, 42.24200)   BPZ = 1.700 [0.297--4.292]   type = 11.00 (SB11_A_0_l)   stellarity = 0.44   chisq2 = 4.61   ODDS = 0.15   z_cluster = 0.228