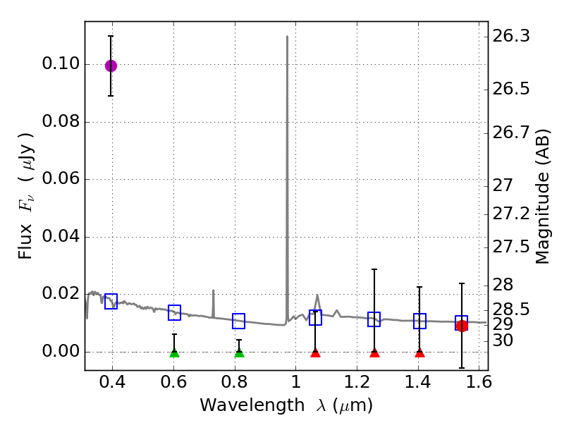
RXS0603+42-N IR detection object #7053

Color images and BPZ results
Catalog: 7053.cat
Black segments are analyzed here.   Roll mouse over color images to view segments.
Best viewed in a wide browser window (1200 pixels or more).   Download SED & P(z) plots to view larger versions.
In P(z) plots: Yellow lines mark the cluster redshift z = 0.228,  

Object #7053   x,y = (1793, 1223)   RA, Dec = (06:03:17.976, 42:14:31.20) = (90.82490, 42.24200)   BPZ = 1.608 [0.840--2.415]   type = 11.00 (SB11_A_0_l)   stellarity = 0.64   chisq2 = 18.10   ODDS = 0.25   z_cluster = 0.228