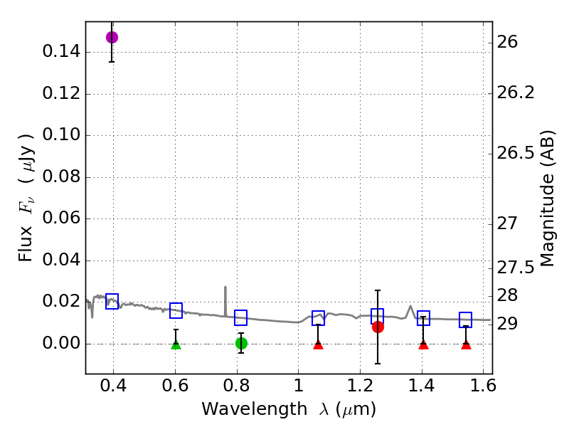
RXS0603+42-N IR detection object #7027

Color images and BPZ results
Catalog: 7027.cat
Black segments are analyzed here.   Roll mouse over color images to view segments.
Best viewed in a wide browser window (1200 pixels or more).   Download SED & P(z) plots to view larger versions.
In P(z) plots: Yellow lines mark the cluster redshift z = 0.228,  

Object #7027   x,y = (3180, 1231)   RA, Dec = (06:03:10.464, 42:14:31.56) = (90.79360, 42.24210)   BPZ = 1.731 [0.972--2.352]   type = 11.00 (SB11_A_0_l)   stellarity = 0.53   chisq2 = 30.48   ODDS = 0.38   z_cluster = 0.228