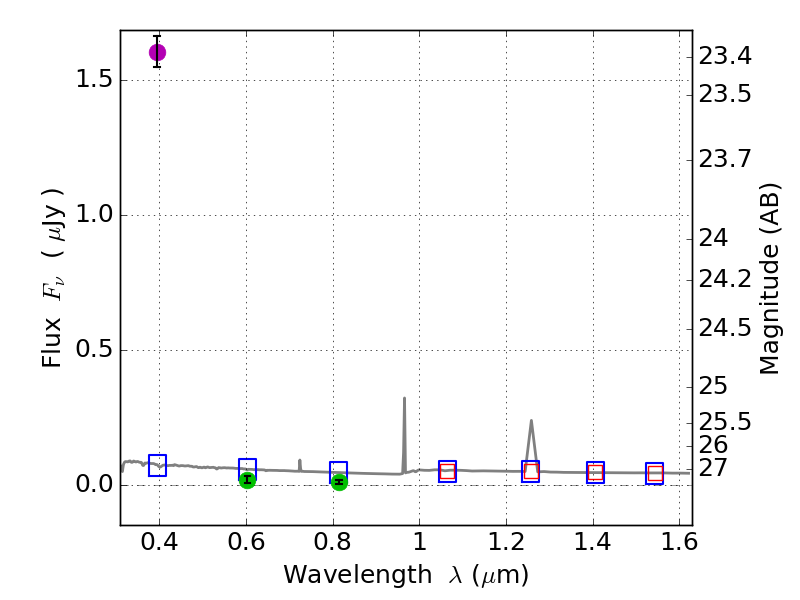
RXS0603+42-N IR detection object #702

Color images and BPZ results
Catalog: 702.cat
Black segments are analyzed here.   Roll mouse over color images to view segments.
Best viewed in a wide browser window (1200 pixels or more).   Download SED & P(z) plots to view larger versions.
In P(z) plots: Yellow lines mark the cluster redshift z = 0.228,  

Object #702   x,y = (2178, 3470)   RA, Dec = (06:03:15.888, 42:16:45.84) = (90.81620, 42.27940)   BPZ = 1.593 [1.260--2.042]   type = 11.00 (SB11_A_0_l)   stellarity = 0.93   chisq2 = 704.30   ODDS = 0.41   z_cluster = 0.228