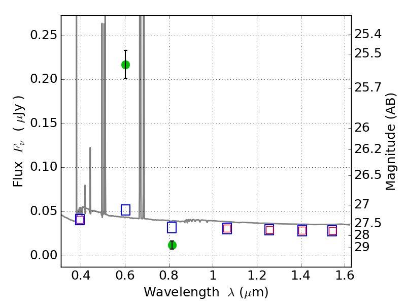
RXS0603+42-N IR detection object #7

Color images and BPZ results
Catalog: 7.cat
Black segments are analyzed here.   Roll mouse over color images to view segments.
Best viewed in a wide browser window (1200 pixels or more).   Download SED & P(z) plots to view larger versions.
In P(z) plots: Yellow lines mark the cluster redshift z = 0.228,  

Object #7   x,y = (2302, 3832)   RA, Dec = (06:03:15.216, 42:17:07.44) = (90.81340, 42.28540)   BPZ = 0.023 [0.011--2.856]   type = 11.00 (SB11_A_0_l)   stellarity = 0.66   chisq2 = 114.20   ODDS = 0.59   z_cluster = 0.228