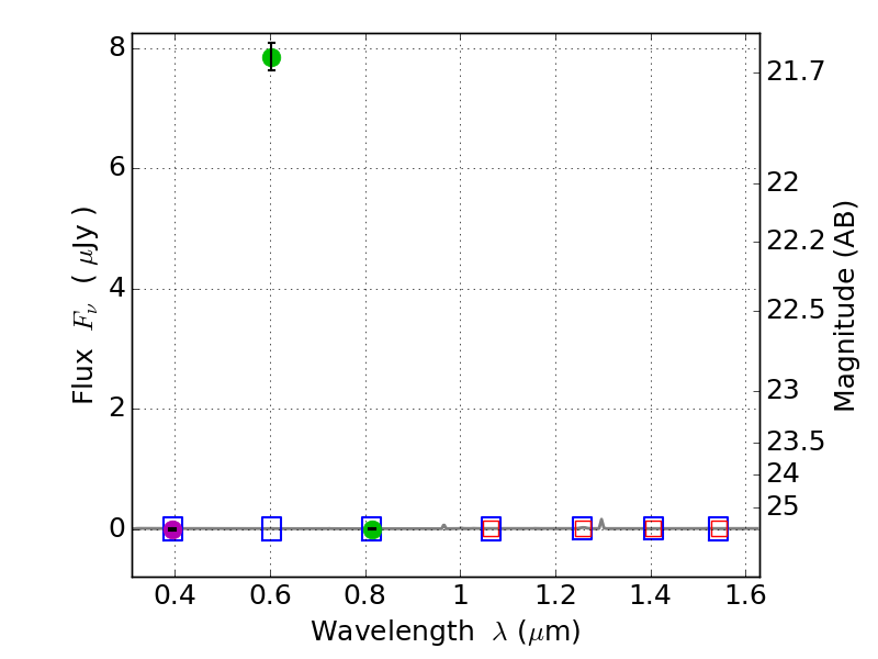
RXS0603+42-N IR detection object #693

Color images and BPZ results
Catalog: 693.cat
Black segments are analyzed here.   Roll mouse over color images to view segments.
Best viewed in a wide browser window (1200 pixels or more).   Download SED & P(z) plots to view larger versions.
In P(z) plots: Yellow lines mark the cluster redshift z = 0.228,  

Object #693   x,y = (3091, 3473)   RA, Dec = (06:03:10.944, 42:16:46.20) = (90.79560, 42.27950)   BPZ = 1.586 [0.271--6.222]   type = 10.20 (SB3_B10 - SB11_A_0_l)   stellarity = 0.83   chisq2 = 1146.00   ODDS = 0.06   z_cluster = 0.228