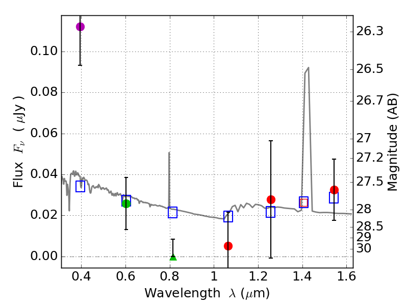
RXS0603+42-N IR detection object #6922

Color images and BPZ results
Catalog: 6922.cat
Black segments are analyzed here.   Roll mouse over color images to view segments.
Best viewed in a wide browser window (1200 pixels or more).   Download SED & P(z) plots to view larger versions.
In P(z) plots: Yellow lines mark the cluster redshift z = 0.228,  

Object #6922   x,y = (2154, 1257)   RA, Dec = (06:03:16.008, 42:14:33.00) = (90.81670, 42.24250)   BPZ = 1.854 [0.847--2.556]   type = 11.00 (SB11_A_0_l)   stellarity = 0.36   chisq2 = 7.87   ODDS = 0.22   z_cluster = 0.228