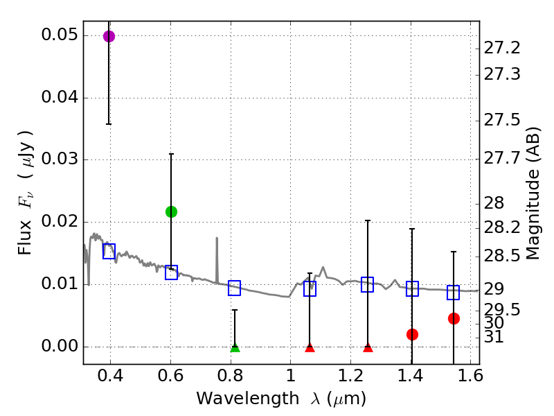
RXS0603+42-N IR detection object #6878

Color images and BPZ results
Catalog: 6878.cat
Black segments are analyzed here.   Roll mouse over color images to view segments.
Best viewed in a wide browser window (1200 pixels or more).   Download SED & P(z) plots to view larger versions.
In P(z) plots: Yellow lines mark the cluster redshift z = 0.228,  

Object #6878   x,y = (2150, 1275)   RA, Dec = (06:03:16.032, 42:14:34.08) = (90.81680, 42.24280)   BPZ = 1.699 [0.267--4.919]   type = 11.00 (SB11_A_0_l)   stellarity = 0.09   chisq2 = 2.67   ODDS = 0.11   z_cluster = 0.228