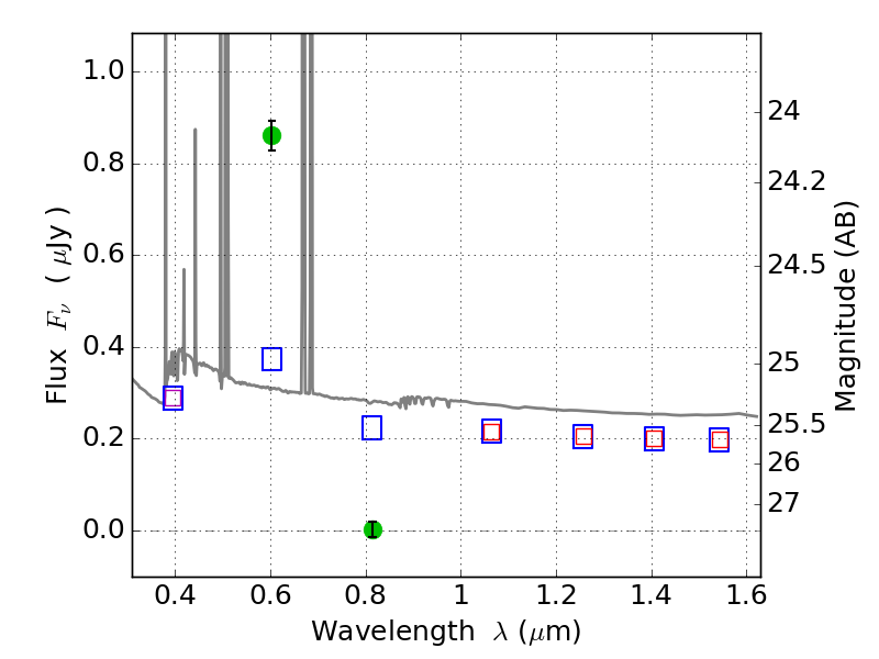
RXS0603+42-N IR detection object #6872

Color images and BPZ results
Catalog: 6872.cat
Black segments are analyzed here.   Roll mouse over color images to view segments.
Best viewed in a wide browser window (1200 pixels or more).   Download SED & P(z) plots to view larger versions.
In P(z) plots: Yellow lines mark the cluster redshift z = 0.228,  

Object #6872   x,y = (1104, 1273)   RA, Dec = (06:03:21.696, 42:14:34.08) = (90.84040, 42.24280)   BPZ = 0.016 [0.010--0.032]   type = 11.00 (SB11_A_0_l)   stellarity = 1.00   chisq2 = 203.10   ODDS = 1.00   z_cluster = 0.228