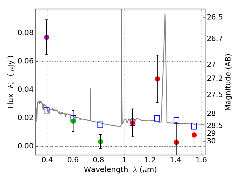
RXS0603+42-N IR detection object #6868

Color images and BPZ results
Catalog: 6868.cat
Black segments are analyzed here.   Roll mouse over color images to view segments.
Best viewed in a wide browser window (1200 pixels or more).   Download SED & P(z) plots to view larger versions.
In P(z) plots: Yellow lines mark the cluster redshift z = 0.228,  

Object #6868   x,y = (2963, 1274)   RA, Dec = (06:03:11.640, 42:14:34.08) = (90.79850, 42.24280)   BPZ = 1.627 [0.842--2.407]   type = 11.00 (SB11_A_0_l)   stellarity = 0.35   chisq2 = 6.91   ODDS = 0.34   z_cluster = 0.228