RXS0603+42-N IR detection object #6835

Color images and BPZ results
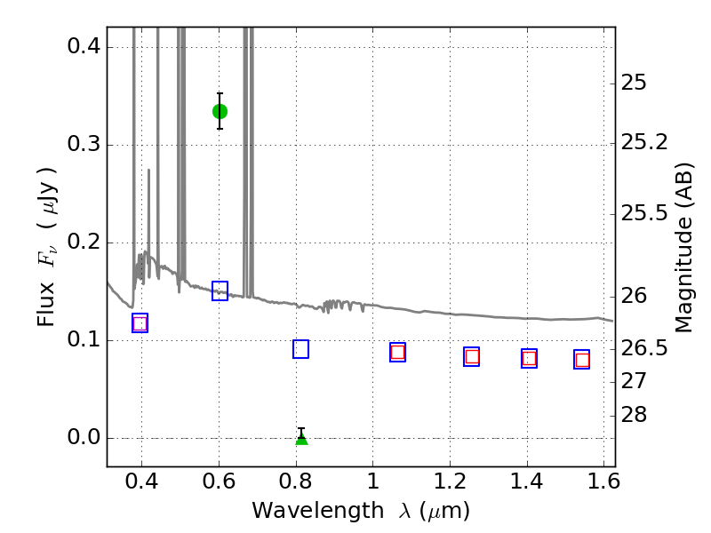
Catalog: 6835.cat
Black segments are analyzed here.   Roll mouse over color images to view segments.
Best viewed in a wide browser window (1200 pixels or more).   Download SED & P(z) plots to view larger versions.
In P(z) plots: Yellow lines mark the cluster redshift z = 0.228,  

Object #6835   x,y = (1166, 1284)   RA, Dec = (06:03:21.360, 42:14:34.80) = (90.83900, 42.24300)   BPZ = 0.018 [0.010--0.039]   type = 11.00 (SB11_A_0_l)   stellarity = 0.97   chisq2 = 122.10   ODDS = 1.00   z_cluster = 0.228