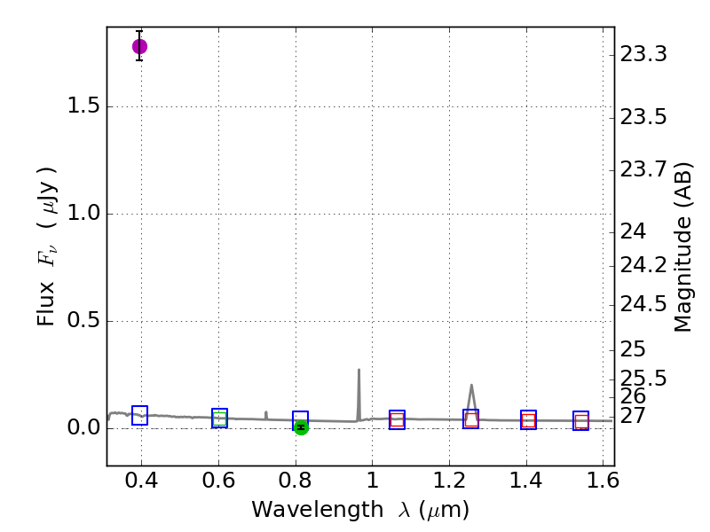
RXS0603+42-N IR detection object #680

Color images and BPZ results
Catalog: 680.cat
Black segments are analyzed here.   Roll mouse over color images to view segments.
Best viewed in a wide browser window (1200 pixels or more).   Download SED & P(z) plots to view larger versions.
In P(z) plots: Yellow lines mark the cluster redshift z = 0.228,  

Object #680   x,y = (3244, 3475)   RA, Dec = (06:03:10.128, 42:16:46.20) = (90.79220, 42.27950)   BPZ = 1.594 [1.279--2.137]   type = 11.00 (SB11_A_0_l)   stellarity = 1.00   chisq2 = 660.00   ODDS = 0.39   z_cluster = 0.228