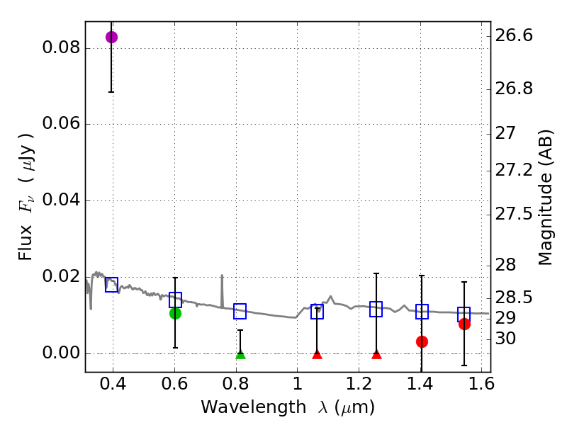
RXS0603+42-N IR detection object #6778

Color images and BPZ results
Catalog: 6778.cat
Black segments are analyzed here.   Roll mouse over color images to view segments.
Best viewed in a wide browser window (1200 pixels or more).   Download SED & P(z) plots to view larger versions.
In P(z) plots: Yellow lines mark the cluster redshift z = 0.228,  

Object #6778   x,y = (1902, 1295)   RA, Dec = (06:03:17.376, 42:14:35.52) = (90.82240, 42.24320)   BPZ = 1.699 [0.371--4.518]   type = 11.00 (SB11_A_0_l)   stellarity = 0.36   chisq2 = 6.16   ODDS = 0.15   z_cluster = 0.228