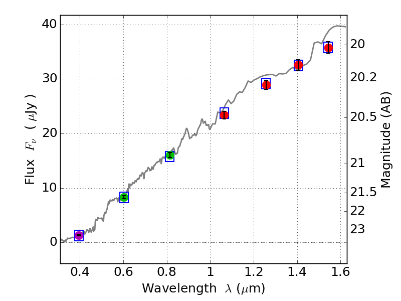
RXS0603+42-N IR detection object #6771

Color images and BPZ results
Catalog: 6771.cat
Black segments are analyzed here.   Roll mouse over color images to view segments.
Best viewed in a wide browser window (1200 pixels or more).   Download SED & P(z) plots to view larger versions.
In P(z) plots: Yellow lines mark the cluster redshift z = 0.228,  

Object #6771   x,y = (2056, 1421)   RA, Dec = (06:03:16.536, 42:14:43.08) = (90.81890, 42.24530)   BPZ = 0.178 [0.136--0.229]   type = 4.70 (ES0_B10 - Ell4_A_0)   stellarity = 0.03   chisq2 = 0.01   ODDS = 0.96   z_cluster = 0.228