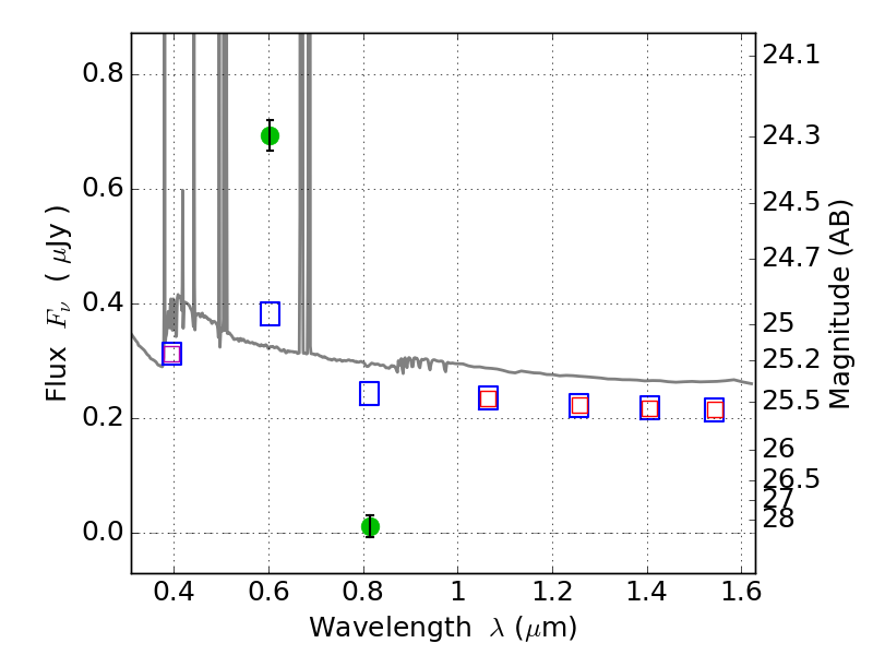
RXS0603+42-N IR detection object #6721

Color images and BPZ results
Catalog: 6721.cat
Black segments are analyzed here.   Roll mouse over color images to view segments.
Best viewed in a wide browser window (1200 pixels or more).   Download SED & P(z) plots to view larger versions.
In P(z) plots: Yellow lines mark the cluster redshift z = 0.228,  

Object #6721   x,y = (1059, 1313)   RA, Dec = (06:03:21.936, 42:14:36.60) = (90.84140, 42.24350)   BPZ = 0.017 [0.010--0.033]   type = 11.00 (SB11_A_0_l)   stellarity = 0.86   chisq2 = 124.30   ODDS = 1.00   z_cluster = 0.228