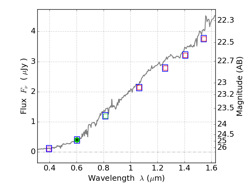
RXS0603+42-N IR detection object #6718

Color images and BPZ results
Catalog: 6718.cat
Black segments are analyzed here.   Roll mouse over color images to view segments.
Best viewed in a wide browser window (1200 pixels or more).   Download SED & P(z) plots to view larger versions.
In P(z) plots: Yellow lines mark the cluster redshift z = 0.228,  

Object #6718   x,y = (991, 1315)   RA, Dec = (06:03:22.296, 42:14:36.60) = (90.84290, 42.24350)   BPZ = 0.716 [0.178--4.204]   type = 6.00 (Sbc_B10)   stellarity = 0.84   chisq2 = 990.00   ODDS = 0.09   z_cluster = 0.228